El Mapa y El Código

Explora la intersección de geoestrategia, política y tecnología con un enfoque en Emacs para análisis geopolítico

Contacto: mybloggingnotes@gmail.com

Arsenal Nuclear Global: Geopolítica de la Disuasión en 2025

Arsenal Nuclear Global: Geopolítica de la Disuasión en 2025

El panorama nuclear mundial en 2025 presenta una paradoja inquietante: mientras el número de países poseedores de armas nucleares se mantiene estable en nueve naciones, la modernización y expansión de arsenales alcanza niveles no vistos desde el fin de la Guerra Fría. Con más de 12.121 ojivas nucleares distribuidas globalmente, la humanidad enfrenta un momento crítico en el control de armamentos.

Distribución Actual de Arsenales Nucleares

Poderes Nucleares Confirmados (2025)


País Ojivas Año Ingreso Estatus TNP Capacidad MIRV
Rusia 5,580 1949 Firmante
Estados Unidos 5,044 1945 Firmante
China 500 1964 Firmante
Francia 290 1960 Firmante
Reino Unido 225 1952 Firmante
India 180 1974 No firmante En desarrollo
Pakistán 170 1998 No firmante En desarrollo
Israel 90 ~1960-70s No firmante Estimado
Corea del Norte 50 2006 Retirado En desarrollo
Total 12,129      


Análisis de Concentración de Poder

Rusia y Estados Unidos controlan aproximadamente el 90% del arsenal nuclear global, manteniendo una hegemonía bipolar heredada de la Guerra Fría. Esta concentración tiene implicaciones fundamentales:

  • Estabilidad estratégica: El equilibrio ruso-estadounidense determina la dinámica global
  • Modernización continua: Ambas potencias invierten masivamente en nuevas tecnologías
  • Influencia geopolítica: Su capacidad de disuasión se extiende a aliados regionales

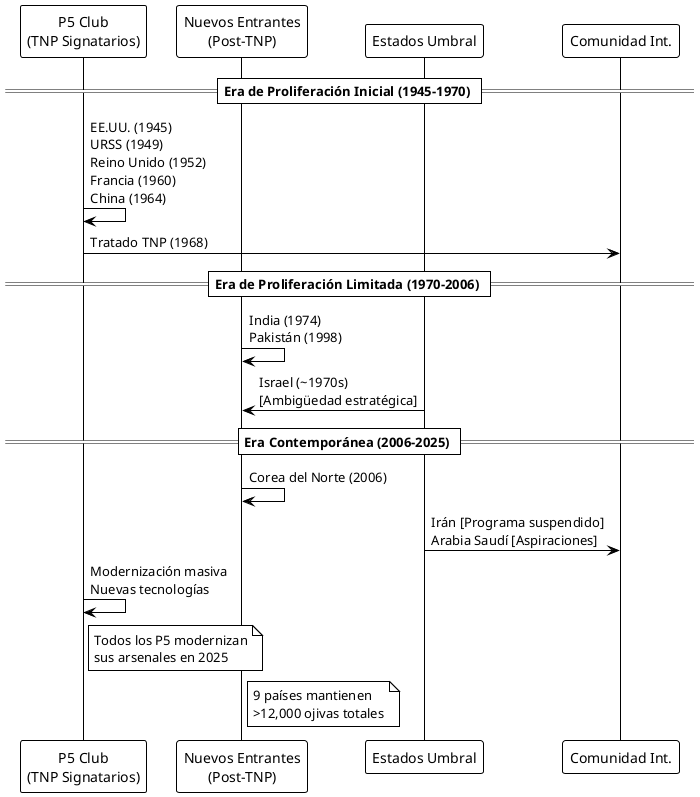
Evolución Histórica del Club Nuclear


nuclear_evolution.png


Tendencias de Modernización y Expansión

Inversión Global en Arsenales Nucleares

El gasto en armas nucleares superó los 100.000 millones de dólares en 2024, distribuido entre las nueve potencias nucleales. Esta cifra astronómica revela prioridades geopolíticas alarmantes:


Región Inversión Estimada Programas Principales
América del Norte 60-65% Modernización ICBM/SLBM
Europa 15-20% Renovación de submarinos
Asia-Pacífico 15-20% Expansión china/india
Oriente Medio 3-5% Programa israelí


Desarrollos Tecnológicos Críticos

India, Pakistán y Corea del Norte buscan desarrollar capacidades MIRV (vehículos de reentrada múltiple), una tecnología que multiplica exponencialmente el poder destructivo de cada misil. Esta carrera tecnológica incluye:

  • Hipersónicos: Misiles que evaden sistemas de defensa tradicionales
  • Inteligencia artificial: Automatización de sistemas de comando y control
  • Miniaturización: Ojivas más pequeñas pero más versátiles
  • Supervivencia: Sistemas móviles y submarinos de nueva generación

Estados en el Umbral Nuclear

Capacidades Técnicas vs. Decisión Política

Varios países poseen el conocimiento técnico y los materiales para desarrollar armas nucleares, pero han optado por no hacerlo por consideraciones estratégicas, económicas o diplomáticas:


País Capacidad Técnica Motivaciones Potenciales Restricciones
Japón Muy alta Amenaza china/norcoreana Constitución
Alemania Muy alta Autonomía estratégica UE/OTAN
Corea del Sur Alta Corea del Norte Alianza EE.UU.
Arabia Saudí Media-Alta Rivalidad con Irán Dependencia
Turquía Media Poder regional OTAN
Brasil Media Liderazgo sudamericano TNP


Irán: El Caso Paradigmático

Irán representa el ejemplo más complejo de un estado en el umbral nuclear. Después del Plan de Acción Integral Conjunto (JCPOA) de 2015 y su posterior abandono por parte de Estados Unidos en 2018, el programa iraní ha experimentado avances significativos, manteniéndose técnicamente dentro de los límites para evitar un arma funcional pero desarrollando capacidades duales.

Implicaciones Geopolíticas Contemporáneas

Disuasión en Crisis

El modelo tradicional de disuasión nuclear enfrenta desafíos sin precedentes:

  1. Multipolaridad nuclear: La emergencia china como tercera superpotencia nuclear
  2. Actores no estatales: Riesgo de transferencia tecnológica a grupos terroristas
  3. Cyberguerra: Vulnerabilidades en sistemas de comando y control
  4. Armas de destrucción limitada: Ojivas tácticas que reducen el umbral de uso

Dinámicas Regionales Críticas

Asia-Pacífico

La rivalidad entre China, India y Pakistán crea un triángulo nuclear inestable, complicado por las ambiciones nucleares norcoreanas y las alianzas estadounidenses en la región.

Oriente Medio

La ambigüedad estratégica israelí y las aspiraciones iraníes generan una carrera armamentística regional que podría involucrar a Arabia Saudí y Turquía.

Europa

La guerra en Ucrania ha revitalizado el debate sobre la autonomía estratégica europea y el papel de las armas nucleares francesas y británicas.

Escenarios Futuros y Análisis de Riesgo

Escenario 1: Estabilización (Probabilidad: 40%)

  • Mantenimiento del status quo de nueve potencias nucleares
  • Modernización controlada sin expansión cuantitativa significativa
  • Renovación de tratados de control de armamentos

Escenario 2: Proliferación Limitada (Probabilidad: 35%)

  • 1-2 nuevos países desarrollan capacidades nucleares (probablemente en Oriente Medio)
  • Erosión gradual del régimen de no proliferación
  • Aumento de tensiones regionales

Escenario 3: Proliferación en Cascada (Probabilidad: 20%)

  • Múltiples países desarrollan armas nucleares simultáneamente
  • Colapso del TNP y sistemas de verificación
  • Riesgo significativo de uso accidental o intencional

Escenario 4: Desarme Progresivo (Probabilidad: 5%)

  • Reducción coordinada de arsenales globales
  • Fortalecimiento de instituciones multilaterales
  • Transición hacia seguridad colectiva no nuclear

Conclusiones y Recomendaciones Estratégicas

El tablero nuclear de 2025 presenta una paradoja fundamental: mientras la cantidad de actores se mantiene estable, la calidad y sofisticación de los arsenales aumenta exponencialmente. Los expertos advierten que nos encontramos en el punto más peligroso desde el fin de la Guerra Fría.

Las recomendaciones para la gestión de este riesgo incluyen:

  1. Renovación del diálogo estratégico: Especialmente entre Estados Unidos, Rusia y China
  2. Fortalecimiento del TNP: Adaptación a nuevas realidades geopolíticas
  3. Transparencia selectiva: Equilibrio entre secreto estratégico y confianza mutua
  4. Tecnologías de verificación: Innovación en sistemas de monitoreo y control
  5. Educación pública: Concienciación sobre riesgos y consecuencias

El futuro de la seguridad nuclear dependerá de la capacidad de la comunidad internacional para adaptar instituciones y normas diseñadas en la era bipolar a un mundo multipolar cada vez más complejo y volátil.

Referencias Documentales

  1. Federation of American Scientists. "Nuclear Weapons: Who Has What at a Glance", 2025.
  2. SIPRI Yearbook 2025: Armaments, Disarmament and International Security.
  3. International Campaign to Abolish Nuclear Weapons. "Global Nuclear Weapons Spending Report 2024".
  4. Nuclear Threat Initiative. "Nuclear Security Index 2024".
  5. International Atomic Energy Agency. "Safeguards Statement for 2024".
  6. Center for Strategic and International Studies. "Nuclear Modernization Programs", 2025.
  7. Arms Control Association. "Nuclear Weapons: Who Has What at a Glance", June 2025.